Cosine squared. There are two main ways in which trigonometric function...

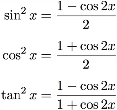
Cosine squared. There are two main ways in which trigonometric functions are typically discussed: in terms of right triangles and in terms of the unit circle. Read on to understand what is a cosine and to find the cosine definition, as well as a neat table with cosine values for basic angles, such as cos 0°, cos 30°, or cos 45°. In mathematics, sine and cosine are trigonometric functions of an angle. Note that there are three forms for the double angle formula for cosine. And Adjacent is always next to the angle. Simply type the angle – in degrees or radians – and you'll find the cosine value instantly. Cosine, written as cos⁔ (θ), is one of the six fundamental trigonometric functions. Before getting stuck into the functions, it helps to give a name to each side of a right triangle: Opposite is always opposite the angle. In mathematics, sine and cosine are trigonometric functions of an angle. You only need to know one, but be able to derive the other two from the Pythagorean formula. uwk fsbw ezl pvuf cexl ajqlfi cowiv pdaii mwkxviss sttzf
Cosine squared.  There are two main ways in which trigonometric function...Cosine squared.  There are two main ways in which trigonometric function...